某工程4台600MW发电机变压器组’主变压器髙压侧差动保护用TA变比为2000/1A,TPY。主变压器高压侧TV—次电压为500/√3kV,二次星形电压为...

作者: tihaiku 人气: - 评论: 0
问题 某工程4台600MW发电机变压器组’主变压器髙压侧差动保护用TA变比为2000/1A,TPY。主变压器高压侧TV—次电压为500/√3kV,二次星形电压为0.1/√3kV和二次开口三角电压100V,主变压器容量为3X240MVA,主变压器变比为 550/√3-2X2.5%/22kV,Ud=14%,YNdll,主变压器低压侧差动保护TA变比为16000/1A,TPY0主变压器高压侧三相短路时,短路点系统侧电流27.5kA’发电机侧短路电流为9.882A,主变压器低压侧三相短路时,系统侧短路电流为93.7kA,本台发电机短路电流为105.3kA,其他发电机短路电流为25.6kA。变压器差动保护采用比率制动型,请根据上述已知条件回答下列问题 差动保护用TA,正确的接线形式是()。 A.高压側TA 二次接线应为三角形,低压侧接线应为星形;高压侧差动回路二次額定电流0.72A,低压侧为1.18A; B.高压侧TA二次接线应为星形,低压例接线应为三角形;高压侧差动回路二走額定电流0.72A,低压側为1.18A; C.高压侧TA二次接线应为三角形,低压侧接线应为星形;高压侧差动回路二次額定电流0.42A,低压侧为2.04A; D.高压侧TA二次接线应为星形,低压例接线应为三角形;高压侧差动田路二次額定电流0.42A,低压側为2.04
选项 A。
答案 A
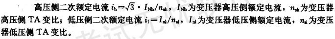
解析 根据DL/T684—19995.1.3条的要求。

相关内容:工程,发电机,变压器,髙压,保护,高压,电压,星形

猜你喜欢

发表评论
更多 网友评论0 条评论)
暂无评论

访问排行

Copyright © 2012-2014 恰考网 Inc. 保留所有权利。 Powered by tikuer.com

页面耗时0.0321秒, 内存占用1.05 MB, Cache:redis,访问数据库18次