某电厂扩建2X300MW国产亚临界燃煤机组,机组以发电机一变压器组单元接线接入220kV系统双母线,220kV配电装置采用双母线母联兼旁路母线接线方式’启...

作者: tihaiku 人气: - 评论: 0
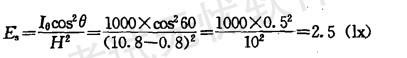
问题 某电厂扩建2X300MW国产亚临界燃煤机组,机组以发电机一变压器组单元接线接入220kV系统双母线,220kV配电装置采用双母线母联兼旁路母线接线方式’启动/备用电源由老厂110kV母线引接。 汽机房安装有一个深照型灯具,安装高度距地面10.8m,该灯具投射至被照点方向的光强为1000cd,被照点距地0.8m,光线与被照面法线的夹角为60°,该灯具在该点水平工作面上的照度为()lx。
选项 A.2.1; B.2.5; C.2.7; D.2.。
答案 B
解析 根据《电力工程电气设计手册》(1) 1080页,点光源在水平面上的照度计算

相关内容:电厂,2X300MW,国产,机组,发电机,变压器,单元,接线,系统,母线,装置,母联,旁路,方式

猜你喜欢

发表评论
更多 网友评论0 条评论)
暂无评论

访问排行

Copyright © 2012-2014 恰考网 Inc. 保留所有权利。 Powered by tikuer.com

页面耗时0.0446秒, 内存占用1.05 MB, Cache:redis,访问数据库20次