某220kV变电站,站址海拔高度为1424m,多年平均大气压力为85.5kPa,多年平均气温15.8℃,绝对湿度为10.656g/mm3,空气相对密度为0...

作者: tihaiku 人气: - 评论: 0
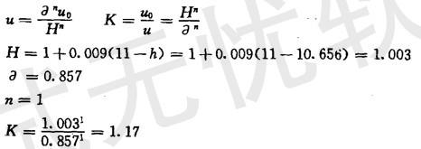
问题 某220kV变电站,站址海拔高度为1424m,多年平均大气压力为85.5kPa,多年平均气温15.8℃,绝对湿度为10.656g/mm3,空气相对密度为0.857;选用的避雷器参数为:10kA残压520kV,操作冲击电流下残压478kV。试计算以下各题: 计算确定雷电冲击电压下相一地空气间隙海拔修正系数为()。
选项 A.K=1.15; B.K=1.14; C.K=1.17; D.K=1.11。
答案 C
解析 解答过程:根据DL/T 620—1997的附录D,在髙海拔地区,放电电压与海拔修正系数按下式计算 根据计算结果选择答案C。

相关内容:变电站,站址,海拔,高度,大气,压力,85.5kPa,多年,10.656g,空气,密度

猜你喜欢

发表评论
更多 网友评论0 条评论)
暂无评论

访问排行

Copyright © 2012-2014 恰考网 Inc. 保留所有权利。 Powered by tikuer.com

页面耗时0.0340秒, 内存占用1.04 MB, Cache:redis,访问数据库18次