某电厂新建4X300MW国产亚临界燃煤发电机组,以500kV升高电压接入系统,500kV出线2回,500kV出线及母线均不装设高压并联电抗器。4台机组连续...

作者: tihaiku 人气: - 评论: 0
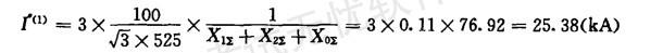
问题 某电厂新建4X300MW国产亚临界燃煤发电机组,以500kV升高电压接入系统,500kV出线2回,500kV出线及母线均不装设高压并联电抗器。4台机组连续建设,均采用发电机一变压器组单元接线接人厂内5OOkV每线,该电厂是区域性主力电源,在系统中具有十分重要的地位。取基准容量Sj=1OOMVA,500kV系统正、负序电抗为0.006,零序阻抗为0.013;主变压器370MVA,Ud=14%,零序阻抗105.1Ω;发电机额定功率3OOMW,最大连续功率33OMW,直轴超瞬变电抗(饱和值)X"d=16%,负序电抗(饱和值)X2=17.18%,零序电抗(饱和值)X0=7.3%,cosφ=0.85,出口电压为20kV。主保护动作时间加相应断路器开断时间为0.1s,后备保护动作时间加相应断路器开断时间为1s。 试计算500kV母线单相短路电流起始有效值为()。 A.8.46kA;B.25.38kA; C.7.33kA; D.21.99k
选项 A。
答案 B
解析 ①根据正序网络图计算X1Σ=O. 004; ②根据负序网络图计算X2Σ=O.004; ③根据零序网络图计算X0Σ=0.005;

相关内容:电厂,4X300MW,国产,发电机组,电压,系统,出线,母线,高压,并联,电抗器,机组

猜你喜欢

发表评论
更多 网友评论0 条评论)
暂无评论

访问排行

Copyright © 2012-2014 恰考网 Inc. 保留所有权利。 Powered by tikuer.com

页面耗时0.0481秒, 内存占用1.04 MB, Cache:redis,访问数据库19次