某线路采用双地线,导线采用双分裂LGJ—400/35钢芯铝绞线,为解决系统通信问题,其中一根为OPGW(自阻抗为Z0),另一根为普通铝包钢线(自阻抗为Zs...

作者: tihaiku 人气: - 评论: 0
问题 某线路采用双地线,导线采用双分裂LGJ—400/35钢芯铝绞线,为解决系统通信问题,其中一根为OPGW(自阻抗为Z0),另一根为普通铝包钢线(自阻抗为Zs)。两根地线之间的互阻抗为Zos。 请计算铝包钢线的分流表达式()。
选项
答案 D
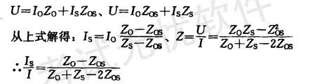
解析 解答过程:

相关内容:线路,地线,导线,钢芯,绞线,系统,通信,问题,一根,阻抗,包钢

猜你喜欢

发表评论
更多 网友评论0 条评论)
暂无评论

访问排行

Copyright © 2012-2014 恰考网 Inc. 保留所有权利。 Powered by tikuer.com

页面耗时0.0430秒, 内存占用1.04 MB, Cache:redis,访问数据库19次