某线路采用双地线,导线采用双分裂LGJ—400/35钢芯铝绞线,为解决系统通信问题,其中一根为OPGW(自阻抗为Z0),另一根为普通铝包钢线(自阻抗为Zs...

作者: tihaiku 人气: - 评论: 0
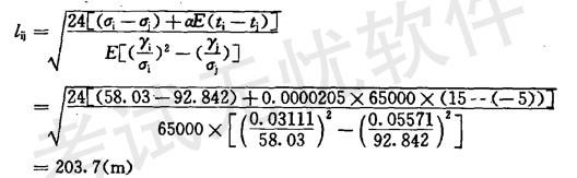
问题 某线路采用双地线,导线采用双分裂LGJ—400/35钢芯铝绞线,为解决系统通信问题,其中一根为OPGW(自阻抗为Z0),另一根为普通铝包钢线(自阻抗为Zs)。两根地线之间的互阻抗为Zos。 电线上的应力随气象条件变化,在各代表档距下,电线应力在各种气象条件下不能超过相应气象条件允许的控制应力,可能存在某档距,小于该档距为一种控制,大于该档距为另一种控制条件,则该档距为两控制气象条件的临界档距。某线路采用双分裂导线LGJ—400/35,导线截面积425.24mm2,导线自重比载r1为0.03111MPa/(m?mm2),线膨胀系数0.0000205(1/℃),弹性系数E为65000MPa,电线覆设计最大冰的气象条件[-5℃,1Omm冰,同时风速10m/s,σm=92.842MPa,r7=0.05571MPa/(m?mm2)],电线年平均气象条件(15V,无冰,无风,σcp=58.03MPa),年平均气温工况15℃和覆冰工况的临界档距为()。
选项 A.203.7m; B.330.4m; C.558.9m; D.440.3m。
答案 A
解析 解答过程:根据《电力工程高压送电线路设计手册》(第二版)185~189页。

相关内容:线路,地线,导线,钢芯,绞线,系统,通信,问题,一根,阻抗,包钢

猜你喜欢

发表评论
更多 网友评论0 条评论)
暂无评论

访问排行

Copyright © 2012-2014 恰考网 Inc. 保留所有权利。 Powered by tikuer.com

页面耗时0.0736秒, 内存占用1.03 MB, Cache:redis,访问数据库14次