某变电站的35kV母线上装设有一组40Mvar并联电容器组,采用单星形接线,且每相接成四个桥臂;在电容器组的中性点侧装设电抗率K=12%的串联电抗器;35...

作者: tihaiku 人气: - 评论: 0
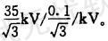
问题 某变电站的35kV母线上装设有一组40Mvar并联电容器组,采用单星形接线,且每相接成四个桥臂;在电容器组的中性点侧装设电抗率K=12%的串联电抗器;35kV母线电压互感器的变比为: 失压保护的动作电压为()。
选项 A.20V; B.35V; C.50V; D.80V。
答案 C
解析 解答过程: 根据《电力工程电气设计手册》(2)274节“并联电容器保护”中27-26公式(478页)计算:失压保护的整定计算

相关内容:变电,母线,上装,40Mvar,并联,电容器,单星形,星形,接线,且每,桥臂,中性,点侧,电抗率,电抗器

猜你喜欢

发表评论
更多 网友评论0 条评论)
暂无评论

访问排行

Copyright © 2012-2014 恰考网 Inc. 保留所有权利。 Powered by tikuer.com

页面耗时0.0350秒, 内存占用1.04 MB, Cache:redis,访问数据库19次