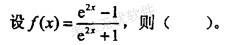
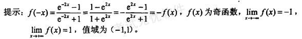
A. f(x)为偶函数,值域为(-1,1)
B. f(x)为奇函数,值域为(-∞,0)
C.f(x)为奇函数,值域为(-1,1)
D. f(x)为奇...
相关内容:函数,值域,为奇
- 设函数,要使f(x)在点x=1处连续,则a的值是 ( )。A. -2
B. -1
C. 0
D. 1
- 若函数处取得极值,则a的值是( )。
- 下列波函数不合理的是( )A. Ψ(1,1,0)
B. Ψ(2,1,0)
C. Ψ(3,2,0,)
D. Ψ(5,3,0)
- 已知,则f(x)在(0,π)内的正级数的和函数s(x)在x=π/2处的值及系数b3分别为( )。
- 下列函数中,不是e2x-e-2x的原函数的是( )。
- 下列命题中正确的是()。A.己知逻辑函数A+B=A+C,则B=C
B.己知逻辑函数A+B=AB,则A=B
C.已知逻辑函数A+B=A,则A=1
D....
- 设a3+3ax2+8为增函数。A. x0 D.x0
- 若函数z=ln(xy)/y,则当x=e,y=e-1时,全微分dz等于( )。A. edx + dy
B. e2dx-dy
C. dx + e2dy
...
- 函数y=x3-6x上切线平行于x轴的点是( )。
- 参数方程确定了y是x的函数,且f,(t)存在,f(0) = 2, f,(0) = 2,则当t=0时,dy/dx的值等于( )。A. 4/3
B. -4/...