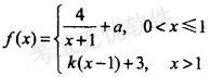
设函数,要使f(x)在点x=1处连续,则a的值是 ( )。A. -2 B. -1 C. 0 D. 1

作者: tihaiku 人气: - 评论: 0
问题 设函数,要使f(x)在点x=1处连续,则a的值是 ( )。
选项 A. -2 B. -1 C. 0 D. 1
答案 D
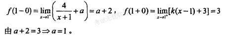
解析 正确答案是D。 提示:要使f(x)在点x= 1处连续,则要f(x)在点x=1处左右极限存在且相等。因

猜你喜欢

发表评论
更多 网友评论0 条评论)
暂无评论

Copyright © 2012-2014 恰考网 Inc. 保留所有权利。 Powered by tikuer.com

页面耗时0.0333秒, 内存占用1.03 MB, Cache:redis,访问数据库19次