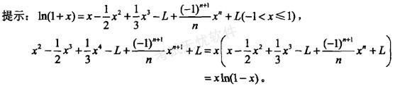
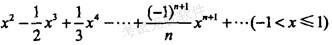
相关内容:级数
- 函数1/x展开成(x-2)的幂级数为( )。
- 已知幂级数的收敛半径R=1,则幂级数的收敛域为( )。A. (-1,1]
B. [-1,1]
C. [-1,1)
D.(-∞,+∞)
- 幂级数的收敛区间为( )。A. [-1,1]
B. (-1,1]
C. [-1,1)
D. (-1,1)
- 若幂级数在x=-2处收敛,在x = 3处发散,则该级数( )。A.必在x = -3处发散
B.必在x=2处收敛
C.必在 x >3时发散
D.其收敛...
- 若,则幂级数 ( )。A.必在 x >3时发散
B.必在 x ≤3时发敛
C.在x=-3处的敛散性不定
D.其收敛半径为3
- 若级数在x = -2处收敛,则此级数在x= 5处( )。A.发散
B.条件收敛
C.绝对收敛
D.收敛性不能确定
- 级数的收敛性是( )。A.绝对收敛
B.条件收敛
C.等比级数收敛
D.发散
- 下列各级数中发散的是( )。
- 级数 ( )。A.当p>1/2时,绝对收敛
B.当p>1/2时,条件收敛
C.当p
- 若级数收敛,则下列级数中不收敛的是( )。