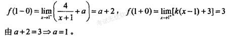
设函数,要使f(x)在点x=1处连续,则a的值是 ( )。A. -2
B. -1
C. 0
D. 1
相关内容:函数,在点
- 下列选项不正确的说法是()。A.所有的信号都能用确定的时间函数来描述
B.在时域中模拟信号用连续的时间函数描述
C.若交流电压信号是周期信号,可用周期...
- 下列波函数不合理的是( )A. Ψ(1,1,0)
B. Ψ(2,1,0)
C. Ψ(3,2,0,)
D. Ψ(5,3,0)
- 已知,则f(x)在(0,π)内的正级数的和函数s(x)在x=π/2处的值及系数b3分别为( )。
- 函数1/x展开成(x-2)的幂级数为( )。
- ,交换积分次序得()[其中f(x,y)是连续函数]。
- 若f(x)为可导函数,且已知f(0) = 0,f'(0) = 2,则的值为()。A. 0
B. 1
C. 2
D.不存在
- 设f(x)为连续函数,那么等于( )。A. f(x + b) + f(x+a)
B. f(x + b)-f(x + a)
C. f(x+b)-f(a)...
- 设F(x)是f(x)的一个原函数,则?e-x f(e-x)dx等于( )。A. F(e-x) +
B. -F(e-x)+
C. F(ex) +
D....
- 若f(x)的一个原函数是e-2x,则?f''(x)dx= ( )。A. e-2x+
B. -2e-2x
C.-2e-2x+
D.4e-2x+
- 设函数f(x)在(-∞,+∞)上是偶函数,且在(0,+∞)内有f(x)>0,f(x)>0,则在(-∞,0)内必有( )。A.f(x)>0,f(x)>0 B...