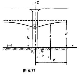
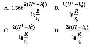
图6-37中,普通潜水井(完全井),半径为r0影响区半径为R,未受影区水位为H, 水井内水位h0,土壤渗流系数为k,该单井流量为( )。

作者: tihaiku 人气: - 评论: 0
问题 图6-37中,普通潜水井(完全井),半径为r0影响区半径为R,未受影区水位为H, 水井内水位h0,土壤渗流系数为k,该单井流量为( )。
选项
答案 A
解析 提示:参见渗流部分。

相关内容:水井,完全井,半径,影响区,影区,水位,土壤,系数,该单井,流量

猜你喜欢

发表评论
更多 网友评论0 条评论)
暂无评论

Copyright © 2012-2014 恰考网 Inc. 保留所有权利。 Powered by tikuer.com

页面耗时0.0503秒, 内存占用1.03 MB, Cache:redis,访问数据库14次