如图6-36所示,式为矩形断面土提,将内、外两河分开,土堤宽l= 20m, 土堤长为100m,外河水深h1=5m,内河水深h2 =1.0m , 土提的渗透...

作者: tihaiku 人气: - 评论: 0
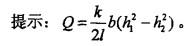
问题 如图6-36所示,式为矩形断面土提,将内、外两河分开,土堤宽l= 20m, 土堤长为100m,外河水深h1=5m,内河水深h2 =1.0m , 土提的渗透系数k= 5x10-3 m/s ,由外河向内河经过土提的渗透流量Q为( )。
选项 A. 3L/s B. 0.003m3/s C. 0.03m3/s D. 0.3m3/s
答案 D
解析

相关内容:如图,6-36所示,矩形,断面,土提,将内,两河,土堤,外河,水深,内河

猜你喜欢

发表评论
更多 网友评论0 条评论)
暂无评论

Copyright © 2012-2014 恰考网 Inc. 保留所有权利。 Powered by tikuer.com

页面耗时0.0726秒, 内存占用1.04 MB, Cache:redis,访问数据库17次