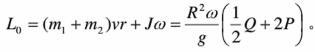
57.各重为P的两物块A和B用绳连接并将此绳缠绕在均质滑轮0上,如图所示,如滑轮半径为R,重为Q,角速度为ω,则系统对O轮的动量矩为( )。

作者: tihaiku 人气: - 评论: 0
问题 57.各重为P的两物块A和B用绳连接并将此绳缠绕在均质滑轮0上,如图所示,如滑轮半径为R,重为Q,角速度为ω,则系统对O轮的动量矩为( )。
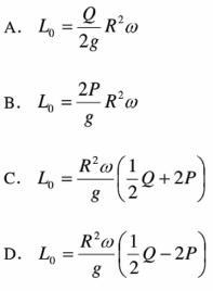
选项
答案 C
解析 系统对O轮的动量矩为物体A、B以及滑轮对O的动量矩的矢量和,因三个动量矩均为逆时针方向,因此,

相关内容:各重,两物块,用绳,滑轮,如图,半径,重为,角速度,系统,动量矩

猜你喜欢

发表评论
更多 网友评论0 条评论)
暂无评论
错误啦!

错误信息

  • 消息: [程序异常] : MISCONF Redis is configured to save RDB snapshots, but it's currently unable to persist to disk. Commands that may modify the data set are disabled, because this instance is configured to report errors during writes if RDB snapshotting fails (stop-writes-on-bgsave-error option). Please check the Redis logs for details about the RDB error.
  • 文件: /twcms/kongphp/cache/cache_redis.class.php
  • 位置: 第 85 行
    <?php echo 'KongPHP, Road to Jane.'; ?>