如图,在铅直面内有一圆板刻有三道光滑细槽AD、BD、CD,AD槽沿铅直方向,长为圆板直径,现有三个质量相等的小球在重力作用下自静止开始同时自A、B、C三点...

作者: tihaiku 人气: - 评论: 0
问题 如图,在铅直面内有一圆板刻有三道光滑细槽AD、BD、CD,AD槽沿铅直方向,长为圆板直径,现有三个质量相等的小球在重力作用下自静止开始同时自A、B、C三点沿槽运动,下列四种情形中正确的是( )。
选项 A. A球先到达D点 B. B球先到达D点 C. C球先到达D点 D.三球同时到达D点
答案 D
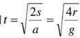
解析 细槽光滑,无摩檫力,则沿槽方向的加速度α=gcosα,小球作匀加速直线运动,位移s=2rcosα,运动时间 ,可见,运动时间与细槽的倾角无关,因此,三个小球同时到达D点。

相关内容:如图,一圆,细槽,槽沿,方向,圆板,直径,现有,三个,质量,小球,重力,作用,下自,静止,同时

猜你喜欢

发表评论
更多 网友评论0 条评论)
暂无评论

Copyright © 2012-2014 恰考网 Inc. 保留所有权利。 Powered by tikuer.com

页面耗时0.0616秒, 内存占用1.03 MB, Cache:redis,访问数据库13次