曲柄OA在如图30-9所示瞬时以⑴的角速度绕轴O转动,并带动直角曲杆O1BC在如图所示平面内运动。若取套筒A为动点,杆O1BC为动系,则牵连速度大小为()...

作者: tihaiku 人气: - 评论: 0
问题 曲柄OA在如图30-9所示瞬时以⑴的角速度绕轴O转动,并带动直角曲杆O1BC在如图所示平面内运动。若取套筒A为动点,杆O1BC为动系,则牵连速度大小为()。
选项 A.ω
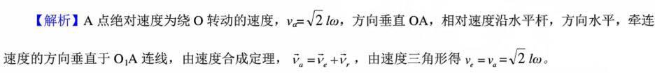
答案 B
解析

相关内容:曲柄,如图,角速度,绕轴,直角,曲杆,平面,运动,若取,套筒,动系,速度,大小

猜你喜欢

发表评论
更多 网友评论0 条评论)
暂无评论

Copyright © 2012-2014 恰考网 Inc. 保留所有权利。 Powered by tikuer.com

页面耗时0.0725秒, 内存占用1.04 MB, Cache:redis,访问数据库18次