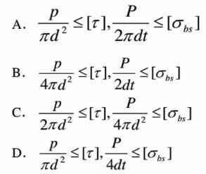
如图所示为一个用四个相同铆钉连接的接头,已知拉杆与铆钉的材料相同。材料的许用剪应力为[τ],许用挤压应力为[σbs],则其剪切强度条件和挤压强度条件是()...

作者: tihaiku 人气: - 评论: 0
问题 如图所示为一个用四个相同铆钉连接的接头,已知拉杆与铆钉的材料相同。材料的许用剪应力为[τ],许用挤压应力为[σbs],则其剪切强度条件和挤压强度条件是()。
选项
答案 D
解析

相关内容:如图,铆钉,接头,拉杆,材料,许用,挤压,应力,剪切,强度,条件

猜你喜欢

发表评论
更多 网友评论0 条评论)
暂无评论
错误啦!

错误信息

  • 消息: [程序异常] : MISCONF Redis is configured to save RDB snapshots, but it's currently unable to persist to disk. Commands that may modify the data set are disabled, because this instance is configured to report errors during writes if RDB snapshotting fails (stop-writes-on-bgsave-error option). Please check the Redis logs for details about the RDB error.
  • 文件: /twcms/kongphp/cache/cache_redis.class.php
  • 位置: 第 85 行
    <?php echo 'KongPHP, Road to Jane.'; ?>