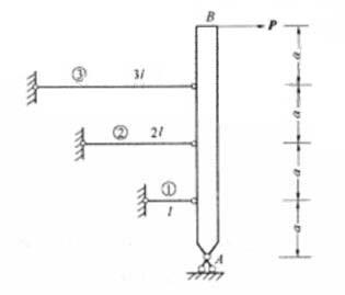
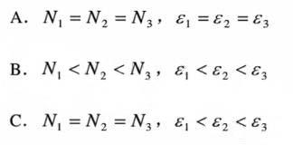
结构受力如图所示,各杆EA相同,若以N1、N2,N3和ε1,ε2、ε2分别表示杆①、②、③的轴力和纵向线应变,则下列结论中正确的是()。

作者: tihaiku 人气: - 评论: 0
问题 结构受力如图所示,各杆EA相同,若以N1、N2,N3和ε1,ε2、ε2分别表示杆①、②、③的轴力和纵向线应变,则下列结论中正确的是()。
选项
答案 A
解析

相关内容:结构,受力,如图,各杆,轴力,纵向,应变,结论

猜你喜欢

发表评论
更多 网友评论0 条评论)
暂无评论

Copyright © 2012-2014 恰考网 Inc. 保留所有权利。 Powered by tikuer.com

页面耗时0.0435秒, 内存占用1.04 MB, Cache:redis,访问数据库16次