设a, b, c为非零向量,则与a不垂直的向量是( )。A. (a ? c) B. C. a×b D. a+ (a×b) ×a

作者: tihaiku 人气: - 评论: 0
问题 设a, b, c为非零向量,则与a不垂直的向量是( )。
选项 A. (a ? c) B. C. a×b D. a+ (a×b) ×a
答案 D
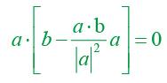
解析 由两向量垂直的充要条件:两向量的数量积为零,以及由向量的运算法则有 A 项,;B 项,C 项,a ? (aXb) =0;D 项,

猜你喜欢

发表评论
更多 网友评论0 条评论)
暂无评论

Copyright © 2012-2014 恰考网 Inc. 保留所有权利。 Powered by tikuer.com

页面耗时0.0702秒, 内存占用1.04 MB, Cache:redis,访问数据库19次