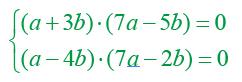
设a、b为非零向量,且满足(a+3b)丄(7a-5b), (a-4b)丄(7a-2b),则a与b的夹角θ=( )。

作者: tihaiku 人气: - 评论: 0
问题 设a、b为非零向量,且满足(a+3b)丄(7a-5b), (a-4b)丄(7a-2b),则a与b的夹角θ=( )。
选项
答案 C
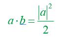
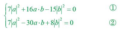
解析 由两向量垂直的充要条件得:①-②得:①×8+②×15得:由上两式得:。从而

猜你喜欢

发表评论
更多 网友评论0 条评论)
暂无评论

Copyright © 2012-2014 恰考网 Inc. 保留所有权利。 Powered by tikuer.com

页面耗时0.0727秒, 内存占用1.03 MB, Cache:redis,访问数据库17次