设向量x垂直于向量a=2,3,-1和b=l,-2,3,且与c=2, -1,1的数量积为-6,则向量x=( )。A.(-3,3,3)
B.(-3,1,1)...
问题
设向量x垂直于向量a=2,3,-1和b=l,-2,3,且与c=2, -1,1的数量积为-6,则向量x=( )。
选项
A.(-3,3,3)
B.(-3,1,1)
C.(0,6,0)
D. 0,3,-3)
答案
A
解析
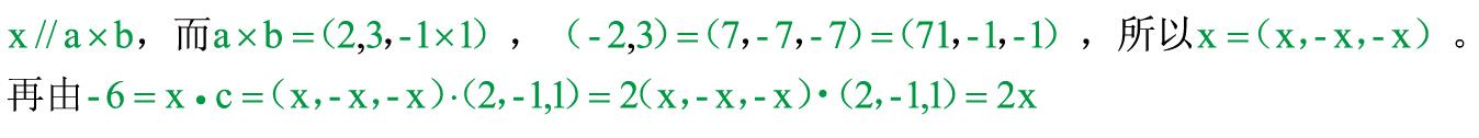
由题意可得,
相关内容:向量,于向量,且与,数量
真空中有两根互相平行的无限长直导线L1和L2,相距0.1m。通有方向相反的电流,I1=20A,I2=10A,a点位于L1L2之间的中点,且与两导线在同一平... 在单缝夫琅禾费衍射实验中,若单缝两端处的光线到达屏幕上某点的光程差为δ =2.5λ(λ为入射单色光的波长),则此衍射方向上的波阵面可划分的半波带数量和屏上... 设λ1,λ2是矩阵A的两个不同的特征值,ξ,η是A的分别属于λ1,λ2的特征向量,则以下选项中正确的是()。A.对任意的k1≠0和k2≠0,k1ξ+k2η... 设有向量组α1=(1,-1,2,4),α2==(0,3,1,2),α3=(3,0,7,14),α4=(1,-2,2,0),α5=(2,1,5,10),则该... 过点P(l, 0, 1)且与两条直线都相交的直线的方向向量可取为( )。A.(-1,1,2)
B.(-1,1,-2)
C.(1, ,-2)
D.(1... 设平而a平行于两直线且与曲而z=x2+y2+l相切,则a的方程为( )。A.4x+2y-z=0
B.4x-2y+z+3=0
C.16x+8y-16z+... 设向量x垂直于向量a=2,3,-1和b=l,-2,3,且与c=2, -1,1的数量积为-6,则向量x=( )。A.(-3,3,3)
B.(-3,1,1)... 设a、b为非零向量,且满足(a+3b)丄(7a-5b), (a-4b)丄(7a-2b),则a与b的夹角θ=( )。
设三向量a,b,c满足关系式a×b=a×c,则( )。A. 必有a=0或b=c
B. 必有 a=b-c=0
C. 当a关0时必有b=c
D. a与(... 已知a、b均为非零向量,而,则( )。A. a-b=0
B. a+b=0
C. a ? b=0
D. a × b=0
错误啦!
错误信息
消息: [程序异常] : MISCONF Redis is configured to save RDB snapshots, but it's currently unable to persist to disk. Commands that may modify the data set are disabled, because this instance is configured to report errors during writes if RDB snapshotting fails (stop-writes-on-bgsave-error option). Please check the Redis logs for details about the RDB error.
文件: /twcms/kongphp/cache/cache_redis.class.php
位置: 第 85 行
<?php echo 'KongPHP, Road to Jane.'; ?>