A.连续,偏导数存在 B.连续,偏导数不存在 C.不连续,偏导数存在 D.不连续,偏导数不存在

作者: tihaiku 人气: - 评论: 0
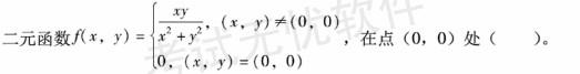
问题
选项 A.连续,偏导数存在 B.连续,偏导数不存在 C.不连续,偏导数存在 D.不连续,偏导数不存在
答案 C
解析 偏导数可按定义计算,而是否连续,要求先确定其极限,若极限不存在,则必定不连续。由偏导数的定义知,

猜你喜欢

发表评论
更多 网友评论0 条评论)
暂无评论

Copyright © 2012-2014 恰考网 Inc. 保留所有权利。 Powered by tikuer.com

页面耗时0.0597秒, 内存占用1.02 MB, Cache:redis,访问数据库13次