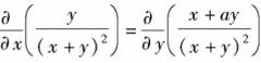
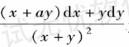
已知为某函数的全微分,则a等于()。A. -1 B. 0 C. 1 D. 2

作者: tihaiku 人气: - 评论: 0
问题 已知为某函数的全微分,则a等于()。
选项 A. -1 B. 0 C. 1 D. 2
答案 D
解析 P(x,y)dx+Q(x,y)dy为某函数u(x,y)的全微分du(x,y),即:du(x,y)=P(x,y)dx+Q(x,y)dy的充要条件是: 即(a-2)x-ay=-2y,(a-2)(x-y)=0,当且仅当a=2时上式恒成立。

猜你喜欢

发表评论
更多 网友评论0 条评论)
暂无评论

Copyright © 2012-2014 恰考网 Inc. 保留所有权利。 Powered by tikuer.com

页面耗时0.0448秒, 内存占用1.04 MB, Cache:redis,访问数据库19次