则f(X)在X=0时的6阶导数f(6)(0)是()。A.不存在 B. -16 C. 156 D. -156

作者: tihaiku 人气: - 评论: 0
问题 则f(X)在X=0时的6阶导数f(6)(0)是()。
选项 A.不存在 B. -16 C. 156 D. -156
答案 D
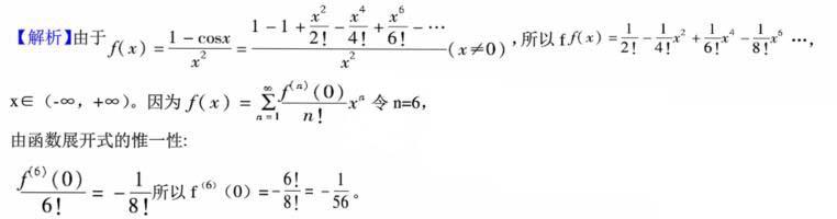
解析

猜你喜欢

发表评论
更多 网友评论0 条评论)
暂无评论

Copyright © 2012-2014 恰考网 Inc. 保留所有权利。 Powered by tikuer.com

页面耗时0.0623秒, 内存占用1.01 MB, Cache:redis,访问数据库14次