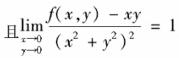
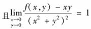
已知函数f(x,y)在点(0,0)的某个邻域内连续,,则()。A.点(0,0)不是f(x,y)的极值点 B.点(0,0)是f(x,y)的极大值点 C....

作者: tihaiku 人气: - 评论: 0
问题 已知函数f(x,y)在点(0,0)的某个邻域内连续,,则()。
选项 A.点(0,0)不是f(x,y)的极值点 B.点(0,0)是f(x,y)的极大值点 C.点(0,0)是f(x,y)的极小值点 D.根据所给条件无法判断点(0,0)是否为f(x,y)的极值点
答案 A
解析 由题设,容易推知f(0,0)=0,因此点(0,0)是否为f(x,y)的极值点,关键看在点(0,0)的充分小的邻域内f(x,y)是恒大于零、恒小于零还是变号。 ,由此可知,分子的极限必为零,从而有f(0,0)=0,且f(x,y)-xy≈(x2+y2)2(丨x丨,丨y丨充分小时),于是f(x,y)-f(0,0)≈xy+(x2+y2)2。 可见当y=x且丨x丨充分小时,f(x,y)-f(0,0)≈x2+4x4>0; 而当y=-x且丨x丨充分小时,f(x,y)-f(0,0)≈-x2+4x4故点(0,0)不是f(x,y)的极值点。

猜你喜欢

发表评论
更多 网友评论0 条评论)
暂无评论

Copyright © 2012-2014 恰考网 Inc. 保留所有权利。 Powered by tikuer.com

页面耗时0.0872秒, 内存占用1.04 MB, Cache:redis,访问数据库19次