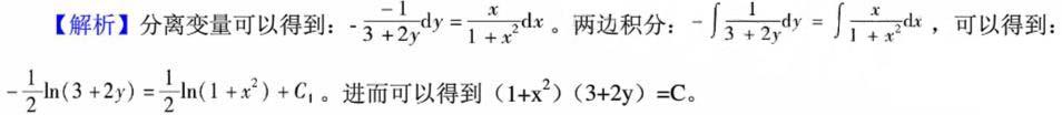
微分方程(3+2y)xdx+(1+x2)dy=0的通解为()。A. 1+x2=Cy B. (1+X2)(3+2y)=C C. (3+2y)2=C/(1...

作者: tihaiku 人气: - 评论: 0
问题 微分方程(3+2y)xdx+(1+x2)dy=0的通解为()。
选项 A. 1+x2=Cy B. (1+X2)(3+2y)=C C. (3+2y)2=C/(1+x2) D. (1+x2)2(3+2y)=0
答案 B
解析

猜你喜欢

发表评论
更多 网友评论0 条评论)
暂无评论

Copyright © 2012-2014 恰考网 Inc. 保留所有权利。 Powered by tikuer.com

页面耗时0.0378秒, 内存占用1.03 MB, Cache:redis,访问数据库19次