A.1/2 B.-1/2 C.3/4 D.-3/4

作者: tihaiku 人气: - 评论: 0
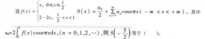
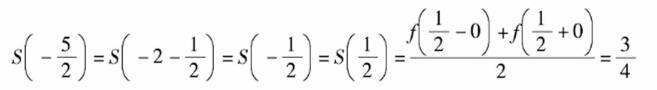
问题
选项 A.1/2 B.-1/2 C.3/4 D.-3/4
答案 C
解析 由题设知,应先将f(X)从[0,1)作偶延拓,使之成为区间[-1,1]上的偶函数,然后再作周期(周期为2)延拓,进一步展开为傅里叶级数,根据收敛定理有:

相关内容:

猜你喜欢

发表评论
更多 网友评论0 条评论)
暂无评论

Copyright © 2012-2014 恰考网 Inc. 保留所有权利。 Powered by tikuer.com

页面耗时0.0643秒, 内存占用1.03 MB, Cache:redis,访问数据库15次