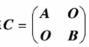
设A,B为n阶矩阵,A*,B*分别为A,B对应的伴随矩阵,分块矩阵则C的伴随矩阵C*=()。

作者: tihaiku 人气: - 评论: 0
问题 设A,B为n阶矩阵,A*,B*分别为A,B对应的伴随矩阵,分块矩阵则C的伴随矩阵C*=()。
选项
答案 D
解析

相关内容:矩阵

猜你喜欢

发表评论
更多 网友评论0 条评论)
暂无评论

Copyright © 2012-2014 恰考网 Inc. 保留所有权利。 Powered by tikuer.com

页面耗时0.0629秒, 内存占用1.04 MB, Cache:redis,访问数据库19次