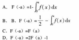
设随机变量X的密度函数为f(x),且f(-x)=f(x),F(x)是X的分布函数,则对任意实数a有( )。

作者: tihaiku 人气: - 评论: 0
问题 设随机变量X的密度函数为f(x),且f(-x)=f(x),F(x)是X的分布函数,则对任意实数a有( )。
选项
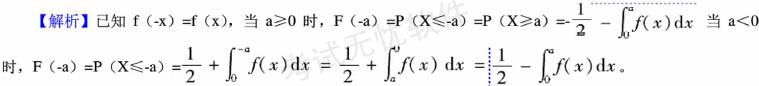
答案 A
解析

相关内容:变量,密度,函数,实数

猜你喜欢

发表评论
更多 网友评论0 条评论)
暂无评论
错误啦!

错误信息

  • 消息: [程序异常] : MISCONF Redis is configured to save RDB snapshots, but it's currently unable to persist to disk. Commands that may modify the data set are disabled, because this instance is configured to report errors during writes if RDB snapshotting fails (stop-writes-on-bgsave-error option). Please check the Redis logs for details about the RDB error.
  • 文件: /twcms/kongphp/cache/cache_redis.class.php
  • 位置: 第 85 行
    <?php echo 'KongPHP, Road to Jane.'; ?>