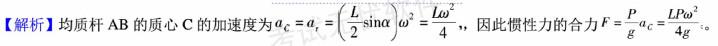
均质细杆AB长L,重力的大小为P,与铅垂轴固结成角α=30°,并以匀角速度ω转动,如图4-3-31所示。则惯性力系的合力的大小等于()。

作者: tihaiku 人气: - 评论: 0
问题 均质细杆AB长L,重力的大小为P,与铅垂轴固结成角α=30°,并以匀角速度ω转动,如图4-3-31所示。则惯性力系的合力的大小等于()。
选项
答案 D
解析

相关内容:细杆,重力,大小,铅垂,轴固,角速度,如图,4-3-31所示,惯性,合力

猜你喜欢

发表评论
更多 网友评论0 条评论)
暂无评论

Copyright © 2012-2014 恰考网 Inc. 保留所有权利。 Powered by tikuer.com

页面耗时0.1593秒, 内存占用1.05 MB, Cache:redis,访问数据库19次