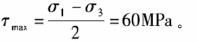
如图5-6-11所示单元体的应力单位为MPa,则其最大剪应力为()MPa。 A. 60 B. -60 C. 20 D. -20

作者: tihaiku 人气: - 评论: 0
问题 如图5-6-11所示单元体的应力单位为MPa,则其最大剪应力为()MPa。
选项 A. 60 B. -60 C. 20 D. -20
答案 C
解析 图示单元体处于平而应力状态,由于图示方向上无剪应力,因此可知该方向为主应力方向,易得σ1=80MPa,σ2=0,σ3=-40MPa。故

相关内容:如图,5-6-11,单元,应力,单位

猜你喜欢

发表评论
更多 网友评论0 条评论)
暂无评论

Copyright © 2012-2014 恰考网 Inc. 保留所有权利。 Powered by tikuer.com

页面耗时0.0601秒, 内存占用1.04 MB, Cache:redis,访问数据库16次