某机械设备配用一台绕线型异步电动机,其额定功率60kW,额定转速590r/min, 转子额定电压330V,转子额定电流112A,试计算该电动机有关参数。 ...

作者: tihaiku 人气: - 评论: 0
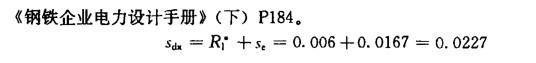
问题 某机械设备配用一台绕线型异步电动机,其额定功率60kW,额定转速590r/min, 转子额定电压330V,转子额定电流112A,试计算该电动机有关参数。 转子导线电阻计算在内,该绕线型异步电动机的等效转差率为( )(选最接近 的一个数据)。
选项 A. 0. 0227, B.0.0187; C. 0.0177; D. 0.0173。
答案 A
解析

相关内容:机械设备,线型,异步电动机,功率,转速,转子,电压,电流,电动机,有关,参数

猜你喜欢

发表评论
更多 网友评论0 条评论)
暂无评论

Copyright © 2012-2014 恰考网 Inc. 保留所有权利。 Powered by tikuer.com

页面耗时0.0450秒, 内存占用1.03 MB, Cache:redis,访问数据库13次