某一般性质的220kV变电站,电压等级为220/110/10kV,两台相同的主变压器,容量为240/240/120MVA,短路阻抗Uk1-2=14%,Uk...

作者: tihaiku 人气: - 评论: 0
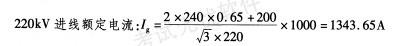
问题 某一般性质的220kV变电站,电压等级为220/110/10kV,两台相同的主变压器,容量为240/240/120MVA,短路阻抗Uk1-2=14%,Uk1-3=25%,Uk2-3=8%,两台主变压器同时运行时的负载率为65%。220kV架空线进线2回,110kV架空负荷出线8回,10kV电缆负荷出线12回,设两段母线,每段母线出线6回,每回电缆平均长度为6km,电容电流为1A/km,220kV母线穿越功率为200MVA,220kV母线短路容量为16000MVA,主变压器10kV出口设置XKK-10-2000-10的限流电抗器一台。请回答下列各题。(XK表示限流电抗器,K表示空芯,额定电压表示10kV,额定电流表示2000A,电抗率10%) 请问计算该变电所最大运行方式时,220kV进线的额定电流为下列哪项数值?() (A) 1785A (B)1344A (C)891
选项 A (D)630A
答案 B
解析 《电力工程电气设计手册》(电气一次部分)P232表6-3。 对桥形接线,出线的计算工作电流为最大负荷电流加系统穿越功率产生的电流;对双回馈线,为1.2~2倍1回线最大负荷电流,包括线路损耗与事故时转移过来的负荷。 注:穿越功率指作为中间变电站高压侧(电源侧)存在出线负荷,即经该变电站高压母线向相同电压等级的其他变电站提供电源,则这个出线上的负荷就是穿越功率。所谓穿越功率,是因为这部分负荷没有被变压器转移到低压倒,而是直接从高压侧穿越走了。按持续工作电流计算选择主变高压母线时,母线容量选择不再是变压器容量,而是通流容量,即通流容量=本站主变容量+穿越功率。题目未明确母线“最大”穿越功率,而仅陈述穿越功率,因此不应按流通容量计算,需加上本站负荷。本题与2011年案例分析试题(上午卷)第一题有所不同,可对照分析。

相关内容:一般性,变电站,电压,等级,变压器,容量,120MVA,短路,阻抗

猜你喜欢

发表评论
更多 网友评论0 条评论)
暂无评论

访问排行

Copyright © 2012-2014 恰考网 Inc. 保留所有权利。 Powered by tikuer.com

页面耗时0.0329秒, 内存占用1.03 MB, Cache:redis,访问数据库13次