某区域电网中运行一座500kV变电所,根据负荷发展情况需要扩建,该变电所现状、本期及远景建设规划见表。 该变电所现有750MVA主变压器阻抗电压百分...

作者: tihaiku 人气: - 评论: 0
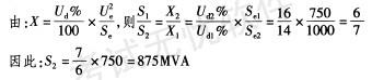
问题 某区域电网中运行一座500kV变电所,根据负荷发展情况需要扩建,该变电所现状、本期及远景建设规划见表。 该变电所现有750MVA主变压器阻抗电压百分比为U k1-2%=14%,本期扩建的2x1000MVA主变压器阻抗电压百分比采用U k1-2%=16%,若三台主变压器并列运行,它们的负载分布为下列哪种情况?请计算并说明。 () (A)三台主变压器负荷均勻分布 (B)1000kVA主变压器容量不能充分发挥作用,仅相当于642MV
选项 A ( B)三台主变压器按容量大小分布负荷 ( C) 1000kV D主变压器容量不能充分发挥作用,仅相当于875MV
答案 D
解析 根据相关教材,当并联运行的变压器阻抗电压不相等时,变压器容量按阻抗大小成反比分配。 注:本题在手册中未找到具体依据。

相关内容:区域,网中,运行,一座,变电所,根据,负荷,发展,情况,需要,现状,远景,建设规划,现有,750MVA,变压器,阻抗,电压

猜你喜欢

发表评论
更多 网友评论0 条评论)
暂无评论

访问排行

Copyright © 2012-2014 恰考网 Inc. 保留所有权利。 Powered by tikuer.com

页面耗时0.0421秒, 内存占用1.05 MB, Cache:redis,访问数据库20次