盒子里有大小、形状、材料完全相同的甲、乙卡片共30张,现在任意抽取3张卡片,问甲卡片至少有多少张时,抽得的3张卡片全为同种卡片的概率最小?( )A.10 ...

作者: tihaiku 人气: - 评论: 0
问题 盒子里有大小、形状、材料完全相同的甲、乙卡片共30张,现在任意抽取3张卡片,问甲卡片至少有多少张时,抽得的3张卡片全为同种卡片的概率最小?( )
选项 A.10 B.15 C.20 D.25
答案 B
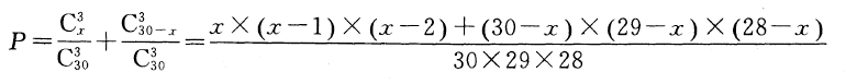
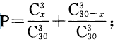
解析 概率问题结合最值问题。假设甲种卡片有x张,则乙种有(30—x)张。抽出3张卡片全为甲种的概率是抽出3张卡片全为乙种的概率是所以,抽出3张卡片全为同种的,当且仅当x=15时取等号。所以,盒子里甲、乙两种卡片各15张时所求概率最小。故选B。

相关内容:盒子,大小,形状,材料,卡片,抽取,问甲,少有,张时,概率

猜你喜欢

发表评论
更多 网友评论0 条评论)
暂无评论

Copyright © 2012-2014 恰考网 Inc. 保留所有权利。 Powered by tikuer.com

页面耗时0.0364秒, 内存占用1.05 MB, Cache:redis,访问数据库19次