过z轴和点M(1,2,-1)的平面方程是: A. x+2y-z-6=0 B. 2x-y=0 C. y+2z=0 D. x+z=0

作者: tihaiku 人气: - 评论: 0
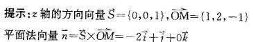
问题 过z轴和点M(1,2,-1)的平面方程是: A. x+2y-z-6=0 B. 2x-y=0 C. y+2z=0 D. x+z=0
选项
答案 B
解析 平面方程-2(x-1) + 1(y-2)=0 化简得2x-y=0

相关内容:平面,方程,x+2y-z-6

猜你喜欢

发表评论
更多 网友评论0 条评论)
暂无评论

Copyright © 2012-2014 恰考网 Inc. 保留所有权利。 Powered by tikuer.com

页面耗时0.0356秒, 内存占用1.04 MB, Cache:redis,访问数据库19次