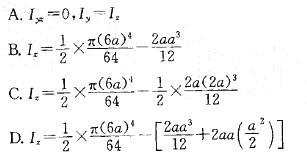
如图所示的平面图形来说,下列结论中错误的是:

作者: tihaiku 人气: - 评论: 0
问题 如图所示的平面图形来说,下列结论中错误的是:
选项
答案 B
解析 提示:图中矩形面积对z轴的惯性矩不是,故结论B不正确。

相关内容:如图,平面,图形,结论,错误

猜你喜欢

发表评论
更多 网友评论0 条评论)
暂无评论

Copyright © 2012-2014 恰考网 Inc. 保留所有权利。 Powered by tikuer.com

页面耗时0.0363秒, 内存占用1.05 MB, Cache:redis,访问数据库20次