旋转曲面:x2 -y2-z2=1是下列哪个曲线绕何轴旋转所得? A. xOy平面上的双曲线绕x轴旋转所得 B. xOz平面上的双曲线绕z轴旋转所得 ...

作者: tihaiku 人气: - 评论: 0
问题 旋转曲面:x2 -y2-z2=1是下列哪个曲线绕何轴旋转所得? A. xOy平面上的双曲线绕x轴旋转所得 B. xOz平面上的双曲线绕z轴旋转所得 C. xOy平面上的橢圆绕x轴旋转所得 D. xOz平面上的椭圆绕x轴旋转所得
选项
答案 A
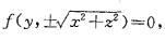
解析 提示:利用平面曲线绕坐标轴旋转生成的旋转曲面方程的特点来确定。例如在yOz平面上的曲线f(y,z) = 0,绕y轴旋转所得曲面方程为绕z轴旋转所得曲面方程为

相关内容:曲面,-y2-z2,曲线,绕何,所得,面上,双曲线

猜你喜欢

发表评论
更多 网友评论0 条评论)
暂无评论

Copyright © 2012-2014 恰考网 Inc. 保留所有权利。 Powered by tikuer.com

页面耗时0.0328秒, 内存占用1.04 MB, Cache:redis,访问数据库19次