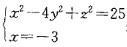
方程表示下述哪种曲面? A.单叶双曲面 B.双曲柱面 C.双曲柱面在平面x=0上投影 D.x=-3平面上双曲线

作者: tihaiku 人气: - 评论: 0
问题 方程表示下述哪种曲面? A.单叶双曲面 B.双曲柱面 C.双曲柱面在平面x=0上投影 D.x=-3平面上双曲线
选项
答案 D
解析 提示:两曲面联立表示空间一曲线,进一步可断定为在x=-3平面上的双曲线。

相关内容:方程,曲面,单叶,双曲面,平面,投影,面上,双曲线

猜你喜欢

发表评论
更多 网友评论0 条评论)
暂无评论

Copyright © 2012-2014 恰考网 Inc. 保留所有权利。 Powered by tikuer.com

页面耗时0.0358秒, 内存占用1.04 MB, Cache:redis,访问数据库18次