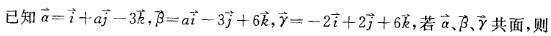
a等于: A. 1 或 2 B.-1 或 2 C.-1 或-2 D. 1 或-2

作者: tihaiku 人气: - 评论: 0
问题 a等于: A. 1 或 2 B.-1 或 2 C.-1 或-2 D. 1 或-2
选项
答案 C
解析 计算三阶行列式,令其等于0,求a,得a=-2,a=-1。

猜你喜欢

发表评论
更多 网友评论0 条评论)
暂无评论

Copyright © 2012-2014 恰考网 Inc. 保留所有权利。 Powered by tikuer.com

页面耗时0.0326秒, 内存占用1.03 MB, Cache:redis,访问数据库18次