函数在x处的微分是:

作者: tihaiku 人气: - 评论: 0
问题 函数在x处的微分是:
选项
答案 A
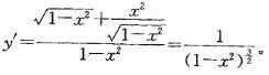
解析 提示y=f(x),dy=f'(x)dx,计算y=f(x)的导数,

猜你喜欢

发表评论
更多 网友评论0 条评论)
暂无评论

Copyright © 2012-2014 恰考网 Inc. 保留所有权利。 Powered by tikuer.com

页面耗时0.0492秒, 内存占用1.04 MB, Cache:redis,访问数据库19次