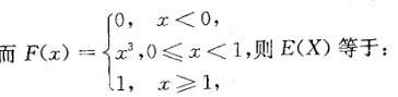
X的分布函数F(x), A. 0.7 B.0. 75 C. 0. 6 D. 0. 8

作者: tihaiku 人气: - 评论: 0
问题 X的分布函数F(x), A. 0.7 B.0. 75 C. 0. 6 D. 0. 8
选项
答案 B
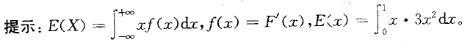
解析

猜你喜欢

发表评论
更多 网友评论0 条评论)
暂无评论

Copyright © 2012-2014 恰考网 Inc. 保留所有权利。 Powered by tikuer.com

页面耗时0.0422秒, 内存占用1.04 MB, Cache:redis,访问数据库20次