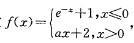
设函数若f(x)在x=0处可导,则a的值是: A. 1 B. 2 C. 0 D. -1

作者: tihaiku 人气: - 评论: 0
问题 设函数若f(x)在x=0处可导,则a的值是: A. 1 B. 2 C. 0 D. -1
选项
答案 D
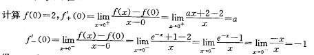
解析 提示:已知f(x)在x=0处可导,要满足f'+ (0) =f'- (0)。 得 a= -1

猜你喜欢

发表评论
更多 网友评论0 条评论)
暂无评论

Copyright © 2012-2014 恰考网 Inc. 保留所有权利。 Powered by tikuer.com

页面耗时0.0635秒, 内存占用1.03 MB, Cache:redis,访问数据库19次