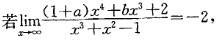
则a、b的值分别为: A. a=-3,b=0 B. a=0,b=-2 C. a=-1,6=0 D.以上都不对

作者: tihaiku 人气: - 评论: 0
问题 则a、b的值分别为: A. a=-3,b=0 B. a=0,b=-2 C. a=-1,6=0 D.以上都不对
选项
答案 D
解析 提示:利用公式,当x→∞时,有理分函数有极限为-2,所以分子的次数应为三次式,即x4的系数为零,即1+a=0,a= -1,x3的系数b为-2时,分式的极限为-2,求出a、b值,a=-1,b=-2。

猜你喜欢

发表评论
更多 网友评论0 条评论)
暂无评论

Copyright © 2012-2014 恰考网 Inc. 保留所有权利。 Powered by tikuer.com

页面耗时0.0297秒, 内存占用1.04 MB, Cache:redis,访问数据库18次