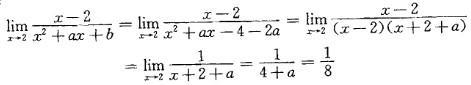
则a、b的值分别是: A. a=-a,b=4: B. a=4,b=-12 C. a=2,b=-8 D. a=1,b=-6

作者: tihaiku 人气: - 评论: 0
问题 则a、b的值分别是: A. a=-a,b=4: B. a=4,b=-12 C. a=2,b=-8 D. a=1,b=-6
选项
答案 B
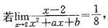
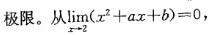
解析 只有为0时分式才会有 得极限 4+2a+b=0,b=-4-2a,代入原式得 所以a=4,b=-12

猜你喜欢

发表评论
更多 网友评论0 条评论)
暂无评论

Copyright © 2012-2014 恰考网 Inc. 保留所有权利。 Powered by tikuer.com

页面耗时0.0284秒, 内存占用1.01 MB, Cache:redis,访问数据库17次