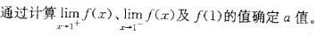
设函数要使f(x)在点x=1处连续,则a的值应是:
A.-2 B.-1 C.0 D.1
相关内容:函数,在点
- 下列各波函数不合理的是:
A. ψ(1,1,0) B. ψ(2,1,0)
C. ψ(3,2,0) D. ψ(5,3,0)
- 下列函数f(x,t)表示弹性介质中的一维波动,式中A、a和b是正常数。其中哪个函数表示沿x轴负向传播的行波?
A. f(x,t) =Acos(ax+bt...
- 设某种理想气体的麦克斯韦分子速率分布函数为f(v),则速率在v1→v2
- 在麦克斯韦速率分布律中,速率分布函数f(v)的意义可理解为:
A.速率大小等于v的分子数
B.速率大小在v附近的单位速率区间内的分子数
C.速率大小...
- 某种理想气体的总分子数为N,分子速率分布函数为f(v),则速率在v1→v2区间内的分子数是:
- X的分布函数F(x),
A. 0.7 B.0. 75 C. 0. 6 D. 0. 8
- 潜水艇在水中下沉时,其所受阻力与下沉速度成正比,若潜艇由静止状态开始下沉,则下列哪个方程是x(t)(路程是时间的函数)所满足的微分方程(其中K是比例系数,...
- 设线性无关函数y1、y2、y3都是二阶非齐次线性方程y''+p(x)y‘+Q(x)y =f(x)的解,c1、c2是待定常数。则此方程的通解是:
A....
- 已知一阶微分方程问该方程的通解是下列函数中的哪个?
- 下列函数中不是方程y''-2y'+y=0的解的函数是:
A.x2ex
B. ex
C.xex
D. (x+2)ex