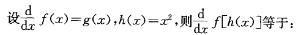
A. g(x2) R 2xg(x) C. x2g(x2) D. 2xg(x2)

作者: tihaiku 人气: - 评论: 0
问题 A. g(x2) R 2xg(x) C. x2g(x2) D. 2xg(x2)
选项
答案 D
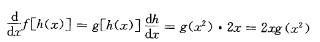
解析 提示:利用复合函数导数公式,计算如下:

相关内容:

猜你喜欢

发表评论
更多 网友评论0 条评论)
暂无评论

Copyright © 2012-2014 恰考网 Inc. 保留所有权利。 Powered by tikuer.com

页面耗时0.0434秒, 内存占用1.04 MB, Cache:redis,访问数据库20次