在x=0处下列结论中哪个结论正确? A.左导数存在,右导数不存在 B.右导数存在,左导数不存在 C.左右导数都存在,但导数不存在. D.导数存在

作者: tihaiku 人气: - 评论: 0
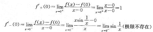
问题 在x=0处下列结论中哪个结论正确? A.左导数存在,右导数不存在 B.右导数存在,左导数不存在 C.左右导数都存在,但导数不存在. D.导数存在
选项
答案 B
解析 提示:利用导数定义,求在x=0处的左右导数。

相关内容:结论,导数

猜你喜欢

发表评论
更多 网友评论0 条评论)
暂无评论

Copyright © 2012-2014 恰考网 Inc. 保留所有权利。 Powered by tikuer.com

页面耗时0.0369秒, 内存占用1.04 MB, Cache:redis,访问数据库20次