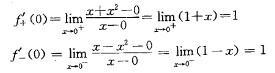
函数y=x+x x ,在x=0 处应:
A.连续且可导 B.连续但不可导 C.不连续 D.以上均不对
相关内容:函数,处应
- 下列各波函数不合理的是:
A. ψ(1,1,0) B. ψ(2,1,0)
C. ψ(3,2,0) D. ψ(5,3,0)
- 某种理想气体的总分子数为N,分子速率分布函数为f(v),则速率在v1→v2区间内的分子数是:
- 设X的分布函数
A. 2 B.4/3 C. 1 D.16/3
- 设随机变量X的分布函数
- 设服从N(0,1)分布的随机变量X,其分布函数为Φ(x)。如果Φ(1) = 0.84,则P{ X ≤1}的值是:
A. 0. 25 B. 0. 68 ...
- 设F1(x)与F2(x)分别为随机变量X1与X2的分布函数。为使F(x)=aF1(x)-bF2(x)成为某一随机变量的分布函数,则a与b分别是:
- 潜水艇在水中下沉时,其所受阻力与下沉速度成正比,若潜艇由静止状态开始下沉,则下列哪个方程是x(t)(路程是时间的函数)所满足的微分方程(其中K是比例系数,...
- 设f(x),f'(x)为已知的连续函数,则微分方程y'十f'(x)y=f(x)f'(x)的通解是:
A. y=f(x)+ce-f(x) B. y...
- 已知一阶微分方程问该方程的通解是下列函数中的哪个?
- 下列命题中,哪个是正确的?
A.周期函数f(x)的傅立叶级数收敛于f (x)
B.若f(x)有任意阶导数,则f(x)的泰勒级数收敛于f(x)
D...