设f(x),f'(x)为已知的连续函数,则微分方程y'十f'(x)y=f(x)f'(x)的通解是: A. y=f(x)+ce-f(x) B. y...

作者: tihaiku 人气: - 评论: 0
问题 设f(x),f'(x)为已知的连续函数,则微分方程y'十f'(x)y=f(x)f'(x)的通解是: A. y=f(x)+ce-f(x) B. y= f(x)ef(x) -ef(x) +c C. y=f(x)-1+ce-f(x) D. y=f(x)-1+cef(x)
选项
答案 C
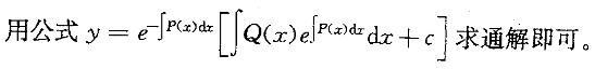
解析 提示:对关于y、y'的一阶线性方程求通解。其中p(x)=f'(x)、Q(x) =f(x)*f'(x) 利

猜你喜欢

发表评论
更多 网友评论0 条评论)
暂无评论

Copyright © 2012-2014 恰考网 Inc. 保留所有权利。 Powered by tikuer.com

页面耗时0.0285秒, 内存占用1.03 MB, Cache:redis,访问数据库17次